Olosuhteisiin nähden tyytyväinen: Luonnontieteiden väitöskirjatutkijoiden kokemuksia ohjauksesta, rahoituksesta, yhteisöön kiinnittymisestä ja stressistä
Anna K. Kirjavainen, erikoistutkija, PET-keskus / radiokemian laboratorio / Turun yliopisto
anna.kirjavainen@utu.fi
Hanna Nori, yliopistotutkija, kasvatustieteiden laitos / UTUPEDA Yliopistopedagogiikan keskus, Turun yliopisto
hanna.nori@utu.fi


Tiivistelmä
Tässä artikkelissa perehdymme luonnontieteen alojen väitöskirjatutkijoiden kokemuksiin. Tarkastelemme erityisesti tyytyväisyyttä ohjaukseen ja rahoitukseen ja integroitumista akateemiseen yhteisöön sekä jatko-opintoihin liittyvän huolen ja stressin kokemuksia. Selvitämme myös, eroavatko luonnontieteen väitöskirjatutkijoiden kokemukset muilla aloilla väitöskirjaa tekevien kokemuksista. Aineistona hyödynnämme vuonna 2015 kahdeksasta suomalaisesta monialaisesta yliopistosta kerättyä laajaa kyselyä (N = 1 694), johon vastasi 213 luonnontieteen väitöskirjatutkijaa. Tutkimuksemme osoitti ensinnäkin, että väitöskirjatutkijat kokivat tärkeimmiksi hyvän ohjaajan ominaisuuksiksi ohjaajan aidon kiinnostuksen, riittävän ajan ja tasapuolisuuden. Hyvä ohjaus on yhteydessä parempaan väitöskirjatutkijan integroitumiseen, riittämätön rahoitus on taas voimakkaimmin yhteydessä tyytymättömyyden tunteisiin jatko-opinnoissa. Muilla aloilla väitöskirjaa tekeviin verrattuna luonnontieteen väitöskirjatutkijat olivat tyytyväisempiä ohjaukseen ja rahoitukseen, ja he olivat myös integroituneet paremmin omaan yhteisöönsä. Toisaalta samaan aikaan he kokivat enemmän huolta jatko-opinnoistaan. Luonnontieteissä väitöskirjatutkijat ovat lähes aina osa isompaa tutkimusryhmää, jolloin ohjaus, rahoitus ja yhteisöön integroituminen ovat varmemmalla pohjalla. Toisaalta tutkimusryhmän paine ja mahdollinen kilpailuasetelma muiden junioritutkijoiden kanssa voi olla kuormittavaa. Väitöskirjatutkijoiden hyvinvointia tukeviin toimenpiteisiin pitää tulevaisuudessa panostaa enemmän esimerkiksi kehittämällä ohjaajien pedagogisia taitoja ja lisäämällä jatko-opintojen rahoitusmahdollisuuksia. Myös joustavampi tutkinnon tavoiteaika antaisi väitöskirjatutkijoille enemmän aikaa kasvaa alansa asiantuntijoiksi ja osaksi akateemista yhteisöä. Samalla opiskelu-, suunnitelmallisuus- ja ajanhallintataitoja voitaisiin tukea ja parantaa tohtoriopintoihin sisällytettävillä opinnoilla.
Avainsanat: tohtorikoulutus, jatko-opinnot, väitöskirja, ohjaus, luonnontieteet
Abstract
In this paper, we examine the experiences of doctoral researchers in the fields of natural science. Especially, we look at satisfaction with supervision and funding, integration into the academic community, and experiences of stress related to postgraduate studies. We will find out whether the experiences of natural science doctoral researchers differ from the experiences of those doing doctoral dissertations in other fields. As a data set, we used a large survey collected from eight Finnish multidisciplinary universities (N=1694) in 2015, which was answered by 213 natural science doctoral researchers. Firstly, our research showed that the doctoral researchers felt that the most important characteristics of a good supervisor were the supervisor’s genuine interest, sufficient time and fairness. Good supervision is connected to better integration of the doctoral researcher, while insufficient funding is most strongly connected to feelings of dissatisfaction in postgraduate studies. In natural sciences, doctoral researchers are almost always part of a larger research group, in which case guidance, funding and integration into the academic community are on a more secure basis. On the other hand, the pressure of the research group and the potential competition with other junior researchers can be overwhelming. In the future, we need to invest more in measures supporting the well-being of doctoral researchers. Ways to do this include, for example, developing the pedagogical skills of supervisors and increasing funding opportunities for postgraduate studies. Greater flexibility in the target time of the doctoral degree would also give doctoral researcher more time to grow into experts in their field and become an integral part of the academic community.
Keywords: Doctoral education, postgraduate studies, doctoral thesis, supervision, natural sciences
Johdanto
Tohtorikoulutettavan työhön liittyy etenkin luonnontieteissä usein jonkinlainen riittämättömyyden tunne, sillä tutkimusala on erittäin kilpailtua ja aina on riski, että joku muu ehtii tehdä saman ennen oman tutkimuksen valmistumista. Kun otetaan huomioon vielä se, että kilpailevat tahot ovat usein eri kokoisia (esim. yksityishenkilöt vastaan suuret tutkimusryhmät), syntyy monesti epätodellinen vaikutelma ylivoimaisesta urakasta. Olen pääasiassa tyytyväinen tuloksiini, mutta uhkakuvista ja niiden tuomasta paineesta on vaikea päästä eroon. (Nainen, teoreettinen fysiikka)
Korkeakoulu- ja tiedepolitiikan tavoitteissa korostetaan nykyisin entistä enemmän tehokkuutta, kansainvälisyyttä ja tuloksellisuutta. Tohtorikoulutuksen merkitys korkeakoulujen tuloksellisuudessa on huomattava, sillä väitöskirjatutkijat tuottavat suuren osan tieteellisistä julkaisuista. Tiedekuntien rahoitus on sidottu valmistuvien tohtorien määrään, ja tohtorintutkinnon tavoitevalmistumisajat ovat tiukat. Yliopistot ovatkin kehittäneet ja tehostaneet oppimisympäristöjään ja ohjauskäytäntöjään, jotta ne tukisivat paremmin väitöskirjatutkijan opiskelua ja akateemisen asiantuntijuuden kehittymistä (Bastalich, 2017). Yliopistot ovat esimerkiksi perustaneet tutkijakouluja tarjoamaan tohtorikoulutusta keskitetysti, jotta vähemmillä resursseilla pystyttäisiin ohjaamaan useampia väitöskirjatutkijoita (Lepp, Remmik, Leijen & Leijen, 2016; McCallin & Nayar, 2012; Parker-Jenkins, 2018; Taylor, 2012).
Tehostamisesta huolimatta henkilökohtaisen ohjauksen tarve ja merkitys eivät ole vähentyneet, pikemminkin päinvastoin (Saru & Vähämäki, 2018). Ohjattavan ja ohjaajan suhteen toimivuus sekä molemminpuolinen tyytyväisyys ovat yhteydessä väitöskirjatutkijan henkiseen hyvinvointiin, tohtoriopintojen sujuvaan etenemiseen ja pienempään keskeyttämisriskiin sekä väitöstutkimuksen korkeaan laatuun (Bastalich, 2017; Lepp ym., 2016; Pyhältö, Stubb & Lonka, 2009; Saru & Vähämäki, 2018). Ohjaaja voi kuitenkin joutua jatkuvasti tasapainoilemaan yliopiston hallintotehtävien, tutkimuksen tuloksellisuuden ja suoritettujen tutkintojen välillä. Tämä heijastuu helposti myös ohjaussuhteisiin, jolloin ohjaajalla on kiire saada väitöskirjatutkijoita tutkintotuubista tavoiteajoissa ulos turvatakseen omalta osaltaan laitoksen ja tiedekunnan tulevan rahoituksen. Vaatimus nopeasta valmistumisesta, lyhyet tutkintojen tavoiteajat ja rahoituksen sitominen valmistuneiden tutkintojen määrään vaikuttavat vääjäämättä siihen, millaisia tohtoreita ja asiantuntijoita yliopistosta valmistuu (Nummenmaa & Soini, 2008; Zhao, Golde & McGormick, 2007). Tohtorikoulutukselle asetetut kiristyneet vaatimukset herättävät kysymään, jäävätkö väitöskirjatutkija ja akateemisen asiantuntijuuden kehittyminen tehokkuusajattelun jalkoihin. Onko tuloksena opintojensa aikana loppuun palaneita putkitohtoreita liukuhihnalta?
Tässä artikkelissa tarkastelemme luonnontieteen alojen väitöskirjatutkijoiden kokemuksia jatko-opinnoistaan, sillä luonnontieteissä jatko-opintoihin sisältyy monia erityispiirteitä. Ensinnäkin luonnontieteissä väitöskirjatutkija on useimmiten osa isompaa tutkimusryhmää, joka parhaimmillaan tukee ja kannustaa, mutta voi toisaalta johtaa epäterveeseen kilpailuun ryhmän väitöskirjatutkijoiden välillä. Toiseksi monilla luonnontieteen aloilla työtä tehdään usein laboratorioympäristössä, mikä tuo vahvan käytännön painotuksen tutkimustyöhön. Kolmanneksi luonnontieteissä väitöskirjat ovat lähes poikkeuksetta artikkeliväitöskirjoja, mikä lisää painetta julkaista tulokset mahdollisimman nopeasti – ennen kuin joku toinen ehtii julkaista ne. (Lepp ym., 2016; Pole, Sprokkereef, Burgess, & Lakin, 1997.) Neljänneksi luonnontieteen aloilla väitöskirjatutkijoiden rahoitus tulee usein suoraan väitöstyön ohjaajilta ja heidän tutkimusrahoituksestaan, jolloin rahoitus tuo ohjaajalle myös enemmän vaikutusvaltaa väitöskirjaprosessiin (Lepp ym., 2016). Akateemisella kentällä on myös paljon hiljaista tietoa ja epävirallisia pelisääntöjä, joiden hallitseminen parantaa mahdollisuuksia päästä tutkimusryhmän johtajan sisäpiiriin. Piiroinen, Matikainen ja Maunula puhuvat ”kultapojista ja -tytöistä”, joiden etenemistä väitöskirjapolulla helpottaa avainhenkilöiltä saatu merkittävä tuki (Piiroinen, Matikainen & Maunula, 2022).
Tieteenalojen väliset erot eivät rajoitu vain väitöskirjaprosessiin, vaan myös valmistuneiden tohtoreiden työllistymisessä on eroavaisuuksia. Opetushallinnon tilastojen mukaan vuonna 2020 luonnontieteen aloilta (ml. biologia ja biotieteet, ympäristöalat, fysikaaliset tieteet, kemia ja geotieteet, matematiikka ja tilastotiede) tohtorintutkinnon suorittaneista työttömänä vuosi valmistumisen jälkeen oli noin seitsemän prosenttia, kun tohtoreiden kokonaistyöttömyysaste oli 4,8 prosenttia (ks. Vipunen, 2023a). Vaikka luonnontieteen aloilta tohtoroituneiden työttömyysaste on hieman keskimääräistä korkeampi, viimeaikaisissa uraseurantakyselyissä ei jatko-opiskelijoiden koulutusta ja työllistymistä koskevissa arvioinneissa juuri ilmennyt alojen välisiä eroja (ks. Tynjälä ym., 2021). Pätkätyöt, jatkuva kilpailu ja työllistymiseen liittyvä epävarmuus voivat kuitenkin aiheuttaa monenlaista huolta ja stressiä jatko-opintojen aikana.
Tarkastelemme tässä artikkelissa luonnontieteen aloilla väitöskirjaa tekevien kokemuksia jatko-opinnoista. Lisäksi selvitämme, eroavatko luonnontieteen alojen väitöskirjatutkijoiden kokemukset muilla aloilla väitöskirjaa tekevien kokemuksista. Oletamme, että luonnontieteen alojen erityispiirteet tulevat näkyviin esimerkiksi ohjaukseen ja rahoitukseen liittyvissä tyytyväisyyden kokemuksissa sekä siinä, miten akateemiseen yhteisöön on integroiduttu. Suomessa ei ole aiemmin julkaistu vastaavaa tutkimusta, joten artikkelimme täydentää tältä osin aukkoa tutkimuskirjallisuudessa. Ymmärtämällä paremmin väitöskirjatutkijoiden ohjaustyytyväisyyteen ja akateemiseen yhteisöön integroitumiseen vaikuttavia tekijöitä voidaan ohjattavien, ohjaajien ja akateemisen yhteisön välistä kommunikaatiota parantaa ja siten edistää väitöskirjatutkijoiden hyvinvointia sekä nopeuttaa tutkintojen valmistumista. Aineistona hyödynnämme vuonna 2015 kerättyä kyselyä, johon vastasi 1 694 suomalaista väitöskirjatutkijaa. Vastanneista 213 suoritti luonnontieteen alan jatko-opintoja. Johdannon alussa oleva sitaatti on yhden aineistomme väitöskirjatutkijan kommentti kokemuksistaan luonnontieteen jatko-opinnoissa.
Teoreettinen taustoitus ja keskeiset käsitteet
Ohjaajan ja ohjauksen merkitys väitöskirjaprosessissa
Tohtorintutkinnon suorittaminen on monivaiheinen prosessi, joka vaatii paljon väitöskirjatutkijalta itseltään, mutta myös ohjaajan rooli on olennaisen tärkeä. Ohjattavan ja ohjaajan tavoitteiden ja toiveiden tulisi kohdata ja olla ainakin jossain määrin tasapainossa, jotta ohjaussuhde voi kehittyä toimivaksi ja molempia tyydyttäväksi (Nummenmaa & Soini, 2008; Zhao ym., 2007). Ohjattava odottaa ohjaajaltaan läsnäoloa ja aikaa, ja kuten Easterby-Smith kumppaneineen (2002) toteavat: ”Ohjaajan saavutettavuus on erittäin tärkeää, ja tästä syystä guru, jolla on sarja loistavia julkaisuja, mutta joka ei ole koskaan käytettävissä konsultaatioihin, ei välttämättä ole paras ohjaaja” (Easterby-Smith, Thorpe & Lowe, 2002). Tämä kuvaa yksinkertaistettuna ohjattavan odotuksia ohjaajalleen: ohjattavat toivovat ennen kaikkea aikaa ja arvostusta. Kun ohjaaja osoittaa olevansa kiinnostunut väitöskirjatutkijastaan ja tämän tutkimuksesta, se luo kokemuksen arvostuksesta ja vahvistaa väitöskirjatutkijan itseluottamusta (Deuchar, 2008). Ohjaaja puolestaan odottaa ohjattavaltaan innostuneisuutta ja sitoutumista tutkimustyöhön. Lepp ym. (2016) havaitsivat tutkimuksessaan, että mikäli väitöskirjatutkijan motivaatio tutkimukseensa heikkenee syystä tai toisesta, voi tämä heijastua ohjaajan motivaatioon väitöskirjatutkijan ohjaamiseen ja pahimmillaan johtaa negatiivisten kokemusten kehään (Lepp ym., 2016).
Väitöskirjatutkijan näkökulmasta hyvällä ohjaajalla on hyvät vuorovaikutustaidot ja hän on helposti lähestyttävä. Lisäksi hyvä ohjaaja osaa kannustaa ja motivoida opiskelijaa, hän on aidosti kiinnostunut tutkimusaiheesta, mutta myös ohjattavastaan (Nummenmaa & Pyhältö, 2008). Ohjaajan omat kokemukset ohjauksesta vaikuttavat ohjaajan tapaan toimia ja antaa ohjausta. Aikaisempien tutkimusten mukaan ohjaussuhde ei muiden ihmissuhteiden tavoin säily muuttumattomana läpi vuosia kestävän väitöskirjaprojektin. Toimiva ohjaussuhde kehittyy ohjaajan alun ohjaavammasta roolista kohti väitöskirjatutkijan itsenäisyyttä. Ohjauksen molempien osapuolten tulee ymmärtää suhteen kehittyminen ja olla valmiita muuttamaan toimintaansa ohjaustarpeiden muuttuessa (Deuchar, 2008). Ohjauksen tarvetta ja ohjaustyyliä olisi hyvä tarkastella säännöllisesti esimerkiksi ohjaussuhteen alussa tehdyn ohjaussopimuksen pohjalta (Benmore, 2016; Deuchar, 2008; Orellana, Darder, Pérez & Salinas, 2016). Hyvässä ohjaussuhteessa molemmat osapuolet, sekä ohjaaja että ohjattava, tuovat suhteeseen osaamisensa ja molemminpuolisen arvostuksensa.
Ohjaussuhteessa molemminpuolisen vuorovaikutuksen osallisuuskokemukset vaikuttavat väitöskirjan etenemiseen ja väitöskirjatutkijan akateemisen itseluottamuksen kehittymiseen. (Bastalich, 2017; Colbeck, 2008; Deuchar, 2008; Pyhältö, Vekkaila & Keskinen, 2012; Vekkaila, Pyhältö & Lonka, 2013b). Lepp ym. (2016) havaitsivat tutkimuksessaan, että Virossa luonnontieteellisillä aloilla ohjaajat usein valmistavat opiskelijoitaan jatko-opintoihin jo opintojen aikaisemmassa vaiheessa, ja ohjaajat usein myös tuntevat jatko-opiskelijansa jo ennen varsinaisten tohtoriopintojen aloittamista. He totesivat myös, että väitöskirjatutkijan tuttuus aikaisemmista opintojen vaiheista ruokki ja tuki positiivista ja onnistunutta ohjaussuhdetta (Lepp ym., 2016).
Hyvän ohjauksen on todettu vaikuttavan positiivisesti väitöskirjan laatuun sekä tutkinnon valmistumisen nopeuteen. (Bastalich, 2017; Burger, 2016; Colbeck, 2008; Deuchar, 2008; Stubb, Pyhältö, Soini, Nummenmaa & Lonka, 2010; Pyhältö & Keskinen, 2012a, 2012b; Vekkaila ym., 2013b). Stubb, Pyhältö ja Lonka (2011) ovat todenneet, että väitöskirjalla ja siihen saadulla ohjauksella ja ohjauksen laadulla on erilainen merkitys sen mukaan, onko väitöskirja väitöskirjatutkijalle prosessi, jonka mukana opitaan ja kasvetaan, vai väline ja tuote, joka saadaan valmiiksi, jotta edetään uralla. Väitöskirjan merkitys vaikuttaa jatko-opiskelijan hyvinvointiin ja sitoutumiseen väitöskirjatyöhön sekä siihen, millaisena hän kokee saamansa ohjauksen (Stubb ym., 2011). Useissa tutkimuksissa raportoidaan ohjaajan tuen ja esimerkin vaikutuksesta väitöskirjatutkijoiden tutkijaidentiteetin ja ”akateemisen itseluottamuksen” rakentumiselle (Nummenmaa & Soini, 2009; Pyhältö, Stubb & Lonka, 2009; Saru & Vähämäki, 2018; Stubb ym., 2011; Stubb, Pyhältö & Lonka, 2014; Stubb ym., 2010). Ohjaussuhdetta edistävät säännölliset tapaamiset, joissa sekä ohjattava että ohjaaja kokevat tulevansa kuulluiksi ja tekevänsä työtä yhteisen päämäärän eteen (Saru & Vähämäki, 2018). Ohjaajan olisi kyettävä reagoimaan erilaisiin ohjaustilanteisiin ja ohjattaviin (Bastalich, 2017; Burger, 2016; Deuchar 2008; Lepp ym., 2016; Pyhältö ym., 2009), sillä jokainen väitöskirjatutkija on erilainen, ja ohjaukseen liittyvät toiveet ja tarpeet ovat yksilöllisiä.
Rahoituksen vaikutus tutkinnon etenemiseen ja väitöskirjatutkijan hyvinvointiin
Vain osa väitöskirjatutkijoista tekee väitöskirjansa alusta loppuun ”kuukausipalkalla”, ja kiristyvien tutkimusrahoitusten maailmassa yhä useamman väitöskirjatutkijan tutkimusrahoitus on epävarmaa ja koostuu lyhyistä apurahapätkistä. Varsinkin luonnontieteellisillä aloilla jatko-opintojen ja väitöstutkimuksen rahoitus tulee usein suoraan ohjaajilta ja heidän tutkimusrahoituksestaan. Myös rahoituksen hakemisessa ja saamisessa korostuu ohjaajan rooli (Bitzer, 2011; Lepp ym., 2016). Olennainen kysymys on, pystyykö ohjaaja tarjoamaan rahoituksen omissa projekteissaan tai hankkeissaan tai edes tukemaan ohjattavaa apurahahakujen viidakossa. Ohjaajien erilainen tuki ja panostus rahoituksen hankinnassa voi asettaa väitöskirjatutkijat hyvin eriarvoiseen asemaan (Piiroinen ym., 2022).
Aikaisemmin julkaistussa yhdysvaltalaisessa tutkimuksessa Zhao ja kumppanit (2007) osoittivat rahoituksen epävarmuuden olevan merkittävä väitöskirjatutkijoiden tyytymättömyyden syy, mikä näkyi varsinkin sosiaalitieteiden ja luonnontieteiden aloilla, kuten biologiassa ja fysiikassa. Brittiläisiä ja amerikkalaisia väitöskirjatutkijoita koskevissa tutkimuksissa on havaittu, että luonnontieteellisillä aloilla väitöskirjaa tekeville järjestyy rahoitus huomattavasti useammin omasta tiedekunnasta kuin yhteiskuntatieteellisten, taidealojen tai humanististen tieteiden väitöskirjatutkijoille. (Barnes & Randall, 2012; Chiang, 2003; Golde & Dore, 2001). Rahoituksen järjestyminen puolestaan lisää selvästi väitöskirjatutkijan tyytyväisyyttä jatko-opintoihinsa, parantaa motivaatiota ja vähentää tohtoriopintojen keskeyttämisriskiä (Leijen, Lepp & Remmik, 2016).
Bitzer (2011) kuvasi eteläafrikkalaisessa tutkimuksessa yhdeksi jatko-opintojen ja tohtorikoulutuksen keskeyttämisen syyksi sopivan tuen puutteen ja taloudellisen epävarmuuden jatko-opintojen aikana. Myös Suomessa tutkimustulokset tukevat päätelmiä siitä, että pätkärahoitus, rahoituksen epävarmuus ja rahoituksen jatkuva hakeminen kuormittavat väitöskirjatutkijoita merkittävästi ja hidastavat tohtorintutkinnon valmistumista. Lisäksi kiristyneet tutkintojen tavoitevalmistumisajat sekä laitosten ja tiedekuntien rahoituksen sitominen valmistuneisiin tohtorintutkintojen määriin luovat helposti kovat onnistumisen paineet väitöskirjatutkijoille (Stubb ym., 2010). Väitöskirjatutkijat kokevat usein myös olevansa halpaa työvoimaa laitoksille, vaikka suurin osa hyväksyykin tilanteen tohtorikoulutukseen ”kuuluvana” asiana (Stubb ym., 2010; Zhao ym., 2007).
Väitöskirjatutkija osana akateemista yhteisöä
Vuonna 2010 Stubb kollegoineen julkaisivat tutkimuksen, jossa selvitettiin väitöskirjatutkijoiden hyvinvoinnin ja tiedeyhteisöön integroitumisen välistä yhteyttä. Heidän tutkimuksessaan nousi esille, kuinka eri tavoilla tiedeyhteisö tai akateeminen yhteisö koetaan. Osa heidän haastattelemistaan väitöskirjatutkijoista mielsi tiedeyhteisön koskemaan vain omaa tutkimusryhmäänsä tai laitosta, osalle tiedeyhteisö taas oli laajempi käsite, joka sisältää kokonaisen tutkimusalan ja sen edustajat. Kyseisessä tutkimuksessa hiukan yli puolet haastatelluista väitöskirjatutkijoista koki olevansa ainakin jollakin tavalla osa tiedeyhteisöä, mutta huolestuttavaa oli, että lähes kolmasosa tutkituista koki olevansa täysin tiedeyhteisön ulkopuolella (Stubb ym., 2010).
Aikaisemmat tutkimukset ovat osoittaneet selvän yhteyden ohjaajalta saadun tuen ja tiedeyhteisöön kiinnittymisen välillä (Nummenmaa & Soini, 2009; Pyhältö ym., 2009; Saru & Vähämäki, 2018; Stubb ym., 2011, 2014; Stubb ym., 2010). Kokemus tiedeyhteisön tiedollisesta ja emotionaalisesta tuesta on yhteydessä pienempään jatko-opintojen keskeyttämisriskiin, nopeampaan valmistumiseen ja yleiseen tyytyväisyyteen tohtoriopintoihin (Pyhältö ym., 2009; Stubb ym., 2011). Stubbin ja kumppaneiden (2011) tutkimuksessa väitöskirjatutkijat kertoivat suhteensa omaan tiedeyhteisöönsä olevan hieman useammin kuormittava kuin voimaannuttava. Inspiroivalla ja voimaannuttavalla suhteella tiedeyhteisöön todettiin olevan vaikutusta jatko-opintoihin sitoutumiseen. Innostuneisuus ja sitoutuneisuus puolestaan vähensivät väitöskirjaprosessiin liittyvää stressiä, uupumusta ja ahdistusta. Väitöskirjatyöhön ja tieteelliseen yhteisöön vahvasti sitoutunut väitöskirjatutkija on usein myös tyytyväinen ja etenee jatko-opinnoissaan hyvin. Tyytyväisyyden kokemus ja sitoutuminen auttavat häntä kohtamaan mahdolliset vastoinkäymiset ja pääsemään niistä yli. Heikommin tiedeyhteisöön ja tutkimukseensa sitoutunut väitöskirjatutkija antaa helpommin periksi kohdatessaan vastoinkäymisiä ja päätyy myös sitoutunutta jatko-opiskelijaa helpommin keskeyttämään väitöskirjaopinnot (Pyhältö ym., 2009; Vekkaila, Pyhältö, Hakkarainen, Keskinen & Lonka, 2012; Vekkaila, Pyhältö & Lonka, 2013a; Vekkaila ym., 2013b).
Luonnontieteiden, tekniikan sekä lääke- ja terveystieteiden tiedekunnissa väitöskirjatutkija tekee usein väitöskirjaansa osana tutkimusryhmää, jolloin ”akateeminen syrjäytyminen” on tutkitusti epätodennäköisempää kuin niillä tieteenaloilla, joilla väitöskirjatyö tehdään pääsääntöisesti itsenäisemmin (Lepp ym., 2016; Nummenmaa & Soini, 2009; Vekkaila, 2012). Tutkimusryhmä, joka toisaalta tarjoaa tukea, voi toisaalta aiheuttaa kuormitusta, jos tutkimus ei etene toivotulla tavalla tai tutkimustulokset eivät vastaakaan odotuksia ja ryhmän luoma paine kasvaa kuormittavaksi (Vekkaila, 2012; Vekkaila ym., 2013a). Tutkimusryhmässä ja -projektissa ohjaus rakentuu osaksi ryhmän toimintaa eikä välttämättä ole niin selvärajaista kuin yksin tohtorintutkintoaan tekevän tapaamiset ohjaajansa kanssa (Stubb ym., 2010; Vekkaila, 2012).
Pelkkä henkilökohtainen ohjaus ei kuitenkaan anna kaikkea sitä tukea, jota väitöskirjatutkija tarvitsee kasvaakseen alansa asiantuntijaksi ja tiedeyhteisön jäseneksi (Nummenmaa & Soini, 2009; Pyhältö, Vekkaila & Keskinen, 2015). Tutkimusryhmän osana väitöskirjatutkija löytää helpommin vertaistukea muista ryhmässä väitöskirjaansa tai tutkimustaan tekevistä virkaiältään nuoremmista tutkijoista. Väitöskirjan tekeminen osana tutkimusryhmää ei kuitenkaan automaattisesti takaa hyvää ohjausta ja laadukasta lopputulosta. Heikko ohjausosaaminen ja puutteelliset johtajuustaidot voivat viedä pohjan koulutusta ja oppimista edistäviltä toimilta (Nummenmaa & Soini, 2008). Väitöskirjan ohjauksessa tulisi pyrkiä luomaan luottamuksen ja vuorovaikutuksen ilmapiiri, jossa saa myös epäonnistua ja yrittää uudelleen.
Tutkimuskysymykset, aineisto ja menetelmät
Tässä artikkelissa tarkastelemme luonnontieteen aloilla väitöskirjaa tekevien kokemuksia jatko-opintojen ohjauksesta, rahoituksesta ja integroitumisesta akateemiseen yhteisöön sekä väitöskirjaprosessiin liittyviä huolen ja stressin tuntemuksia. Lisäksi selvitämme, eroavatko luonnontieteen väitöskirjatutkijoiden kokemukset muilla aloilla jatko-opintoja tekevien kokemuksista. Tutkimuskysymykset olemme jaotelleet seuraavasti:
- Mitkä tekijät ovat yhteydessä ohjaustyytyväisyyteen luonnontieteen aloilla?
- Missä määrin ohjaus, rahoitus, integroituminen akateemiseen yhteisöön ja stressin kokeminen ovat yhteydessä luonnontieteiden väitöskirjatutkijoiden tyytyväisyyteen?
- Eroavatko luonnontieteiden väitöskirjatutkijat muiden alojen väitöskirjatutkijoista
a. tyytyväisyydessä ohjaukseen?
b. tyytyväisyydessä rahoitukseen?
c. integroitumisessa akateemiseen yhteisöön?
d. huolen ja stressin kokemuksissa?
Aineistona tutkimuksessa hyödynnettiin kahdeksan suomalaisen yliopiston (Aalto-yliopisto sekä Helsingin, Itä-Suomen, Jyväskylän, Lapin, Oulun, Tampereen ja Turun yliopistot) väitöskirjatutkijoilta vuonna 2015 kerättyä kyselyaineistoa (N = 1 694). Luonnontieteen aloilla väitöskirjaa tekeviä oli aineistossa mukana kaikkiaan 213 henkilöä (naisia 62 %, miehiä 37 %, ei-binäärisiin identifioituvia 0,9 %). Yliopistoittain kyselyyn vastanneet väitöskirjatutkijat jakaantuivat seuraavasti (taulukko 1):
Taulukko 1. Kyselyyn vastanneet yliopistoittain ja kaikki luonnontieteiden jatko-opiskelijat 2015

Verrattuna kaikkiin luonnontieteellisten alojen väitöskirjatutkijoihin aineistossa olivat yliedustettuina Itä-Suomen, Jyväskylän ja Turun yliopistot, kun taas Helsingin yliopistosta oli vastaajia huomattavasti vähemmän kuin jatko-opiskelijamäärä antaisi odottaa. Myös sukupuolen perusteella vastaajajoukko oli painottunut naisiin, sillä kaikista luonnontieteiden jatko-opiskelijoista miehiä ja naisia oli vuonna 2015 suunnilleen yhtä paljon: miehiä 50,6 ja naisia 49,4 prosenttia. Pohdimme aineiston rajoitteita tarkemmin artikkelin lopussa.
Kysely koostui avoimista kysymyksistä, monivalintakysymyksistä sekä Likert-asteikollisista väittämistä. Kyselyssä kartoitettiin laajasti väitöskirjatutkijoiden lapsuudenkodin ilmapiiriä, vanhempien kasvatusasennetta, tohtoriopintoja edeltäviä opintoja ja hakeutumista tohtoriopintoihin. Lisäksi kyselyssä selvitettiin väitöskirjatutkijan opintojen aikaista elämäntilannetta, kansainvälistymistä, tiedeyhteisöön sosiaalistumista, kokemuksia väitöskirjan ohjauksesta ja rahoituksesta sekä ajatuksia omasta suoriutumisesta ja menestymisestä jatko-opinnoissa.
Analysoimme aineistoa kvantitatiivisilla menetelmillä SPSS-ohjelmiston avulla.
Ensimmäiseen tutkimuskysymykseen eli ohjaustyytyväisyyteen yhteydessä olevia tekijöitä tutkimme Pearsonin tulomomenttikorrelaatiokertoimien (r) avulla. Pearsonin korrelaatiokerroin ilmoittaa kahden, vähintään välimatka-asteikolla mitatun muuttujan välisen lineaarisen yhteyden ja se vaihtelee välillä -1 ja 1 (Nummenmaa, 2021). Korrelaatiokertoimen avulla voidaan siis mitata kahden muuttujan välistä positiivista tai negatiivista riippuvuutta, mutta ei syy-seuraussuhdetta.
Toista tutkimuskysymystä eli ohjauksen, rahoituksen, akateemisen integroitumisen ja stressin yhteyttä väitöskirjatutkijan tyytyväisyyden kokemuksiin analysoimme lineaarisella regressioanalyysillä. Koska aineisto ei sisältänyt varsinaista kysymystä tyytyväisyydestä jatko-opintoihin, jouduimme arvioimaan tyytyväisyyden kokemusta muulla tavoin. Kysely sisälsi viisiportaisen väittämän: ”Jos voisin päättää uudelleen, aloittaisin edelleen tohtoriopinnot.” Empiirisissä uravalintatutkimuksissa (esim. Köse, 2019) on todettu, että uravalinnan katuminen on selvässä yhteydessä vähäisempään työtyytyväisyyteen. Voidaan siis ajatella, että ne jatko-opiskelijat, joiden kokonaistyytyväisyys jatko-opintoihin on suuri, myös aloittaisivat opinnot uudelleen. Väittämän kanssa eri mieltä olevat vastaajat taas katuivat ainakin jossain määrin väitöskirjaprosessiin ryhtymistä ja osoittivat näin tyytymättömyytensä jatko-opintoihin. Regressioanalyysi on käyttökelpoinen tilanteissa, joissa halutaan luoda matemaattisia malleja muuttujien välisistä yhteyksistä. Mallien avulla voidaan sekä kuvailla että ennustaa erilaisia ilmiöitä ja tapahtumia. Hyödynnämme tutkimuksessamme Enter-menetelmää eli olemme ennakolta määrittäneet malliin tulevat muuttujat aiempien tutkimusten perusteella (ks. Nummenmaa, 2021).
Studentin t-testin avulla selvitimme, eroavatko luonnontieteen alan väitöskirjatutkijat muiden alojen väitöskirjatutkijoista tyytyväisyydessä ohjaukseen, tyytyväisyydessä rahoitukseen, integroitumisessa akateemiseen yhteisöön sekä väitöskirjaprosessiin liittyvän stressin kokemuksissa (3. tutkimuskysymys). Riippumattomien otosten t-testin tulosten tulkinnassa hyödynsimme p-arvon lisäksi efektikokoa mittaavaa Cohenin d -arvoa.
Aineistossa oli myös muutamia avoimia kysymyksiä. Tässä tutkimuksessa emme kuitenkaan ole analysoineet vastauksia tarkemmin, vaikka olemme nostaneet artikkeliimme muutamia sitaatteja tekstiä elävöittämään.
Tulokset
Huippututkija ei ole välttämättä huippuohjaaja
Kyselyaineistossa oli useita väittämiä, joiden avulla oli kartoitettu väitöskirjatutkijan kokemuksia saamastaan ohjauksesta. Seuraavaksi katsomme, miten yksittäiset kysymykset ja väittämä ”Olen tyytyväinen yhteistyöhön pääohjaajan kanssa” korreloivat. Taulukossa 2 on esitetty kunkin väittämän tunnusluvut (lukumäärät, keskiarvot, keskihajonnat) sekä korrelaatiokertoimet. Voimakkaimmin ”Olen tyytyväinen yhteistyöhön pääohjaajan kanssa” -väittämän kanssa korreloi väitöskirjatutkijan kokemus ohjaajan kiinnostuksesta ohjata väitöskirjoja (r = 0,647) sekä se, että ohjaajalla on riittävästi aikaa ohjaamiseen (r = 0,585). Näiden lisäksi kokemus ohjaajan tasapuolisuudesta (r = 0,582) ja ohjaajan hyödyllisistä sosiaalisista verkostoista (r = 0,421) sekä ohjaajan helppo tavoitettavuus (r = 0,412) olivat selvästi yhteydessä väitöskirjatutkijan tyytyväisyyteen saamaansa ohjaukseen.
Taulukko 2. Ohjausta ja ohjaajaa kuvaavien väittämien lukumäärät (n), keskiarvot (KA), keskihajonnat (KH) ja Pearsonin korrelaatiot (r)

Ohjaajan ohjattaviensa kanssa tekemällä yhteistyöllä, kuten yhteisartikkelien kirjoittamisella (r = 0,374) tai erityisellä asiantuntemuksella alalta (r = 0,298) oli vain kohtalainen, mutta tilastollisesti merkitsevä (p < 0,01) yhteys ohjaustyytyväisyyteen. Ehkä vähän yllättäenkin ohjaajan ohjauskokemus ei korreloinut tilastollisesti merkitsevästi ohjaustyytyväisyyden kanssa. Myöskään ohjaajan kansainväliset tai kansalliset tutkimusmeriitit eivät olleet yhteydessä siihen, miten hyvänä ohjaussuhdetta pidettiin.
Jatko-opintojen rahoituksella voimakkain yhteys tyytyväisyyden kokemuksiin
Väitöskirjatutkijan tyytyväisyys väitöskirjaprosessiin muodostuu useasta eri tekijästä. Seuraavaksi selvitämme, millä tavoin tyytyväisyys ohjaukseen ja rahoitukseen, akateemiseen yhteisöön integroituminen sekä koettu huoli ja stressi selittävät kokonaistyytyväisyyttä väitöskirjaprosessiin.
Muodostimme neljä summamuuttujaa, joista ensimmäinen kuvaa tyytyväisyyttä ohjaukseen, toinen tyytyväisyyttä rahoitukseen, kolmas integroitumista akateemiseen yhteisöön ja neljäs väitöskirjan tekemiseen liittyvän huolen ja stressin kokemuksia. Summamuuttujat muodostettiin laskemalla kunkin osa-alueen väittämät yhteen ja jakamalla ne väittämien lukumäärällä (ks. taulukko 3). Laskennallisessa luotettavuusanalyysissä Cronbachin alfa -arvojen perusteella kaikkien summamuuttujien sisäinen konsistenssi oli hyvä (0,83–0,88).
Taulukko 3. Kyselyaineistosta muodostetut summamuuttujat sekä niihin sisältyvät väittämät tai kysymykset

**p < 0,01, *p < 0,05
Tyytyväisyyden mittarina eli selitettävänä muuttujana käytimme kyselyn väittämää ”Jos voisin päättää uudelleen, aloittaisin edelleen tohtoriopinnot.” Taulukossa 4 on esitetty selitettävän muuttujan ja selittävien muuttujien keskiarvot, keskihajonnat ja Pearsonin korrelaatiokertoimet.
Taulukko 4. Tyytyväisyys tohtoriopintoihin ja selittävien muuttujien keskiarvot (KA), keskihajonnat (KH) ja Pearsonin korrelaatiot (r)

Tyytyväisyys jatko-opintojen rahoitukseen (r = 0,358) ja ohjaukseen (r = 0,262) korreloivat positiivisesti kokonaistyytyväisyyttä mittavan väittämän kanssa. Sen sijaan huolen ja stressin kokemukset ovat odotetusti negatiivisesti yhteydessä yleiseen tyytyväisyyteen (r = -0,374). Tyytyväisyys ohjaukseen korreloi positiivisesti korkean yhteisöön integroitumisen kanssa (r = 0,396). Riittävä rahoitus taas on yhteydessä vähäisempään stressiin (r = -0,352). Akateemiseen yhteisöön integroituminen – hieman yllättäen – korreloi heikosti kokonaistyytyväisyyden kanssa. Todennäköisesti suhde ohjaajaan on merkityksellisempi ja myös tyydyttää osin yhteisöön kiinnittymisen tarpeet. Tästä antaa viitteitä myös kohtalainen korrelaatio ohjauksen ja integroitumisen välillä.
Taulukossa 5 on esitetty lineaarisen regressioanalyysin tulokset, kun selitettävänä muuttujana on kokonaistyytyväisyys tohtoriopintoihin ja selittäjinä tyytyväisyys ohjaukseen, tyytyväisyys rahoitukseen, akateemiseen yhteisöön integroituminen sekä koettu huoli ja stressi.
Taulukko 5. Lineaarinen regressioanalyysi tohtoriopintoihin tyytyväisyyttä selittävistä tekijöistä

Regressiomallin selitysaste (R²) oli 23,2 %, korjattu selitysaste 21,5 %. Selitysvoimaltaan kyseinen malli on vähintään kohtalainen: se selittää reilun viidesosan tyytyväisyydestä tohtoriopintoihin. Selittäjistä kaikki muut paitsi integraatiota kuvaava summamuuttuja olivat tilastollisesti merkitseviä. Tyytyväisyydellä rahoitukseen oli suurin positiivinen yhteys (β = 0,228, < 0,01), kun puolestaan koetulla stressillä oli suurin negatiivinen yhteys (β = -0,273, p < 0,001) kokonaistyytyväisyyteen. Ohjauksen selitysvoima (β = 0,153, p = 0,034) koettuun tyytyväisyyteen jäi selvästi matalammaksi kuin rahoituksen. Taulukon viimeisten sarakkeiden tunnuslukujen (Tolerance yli 0,2 ja VIF alle 5) perusteella näyttää myös siltä, että multikollineaarisuus ei ole tässä mallissa ongelma, eli selittävien muuttujien välillä ei ole voimakasta korrelaatiota.
Kuormittuneet ja stressaantuneet luonnontieteilijät
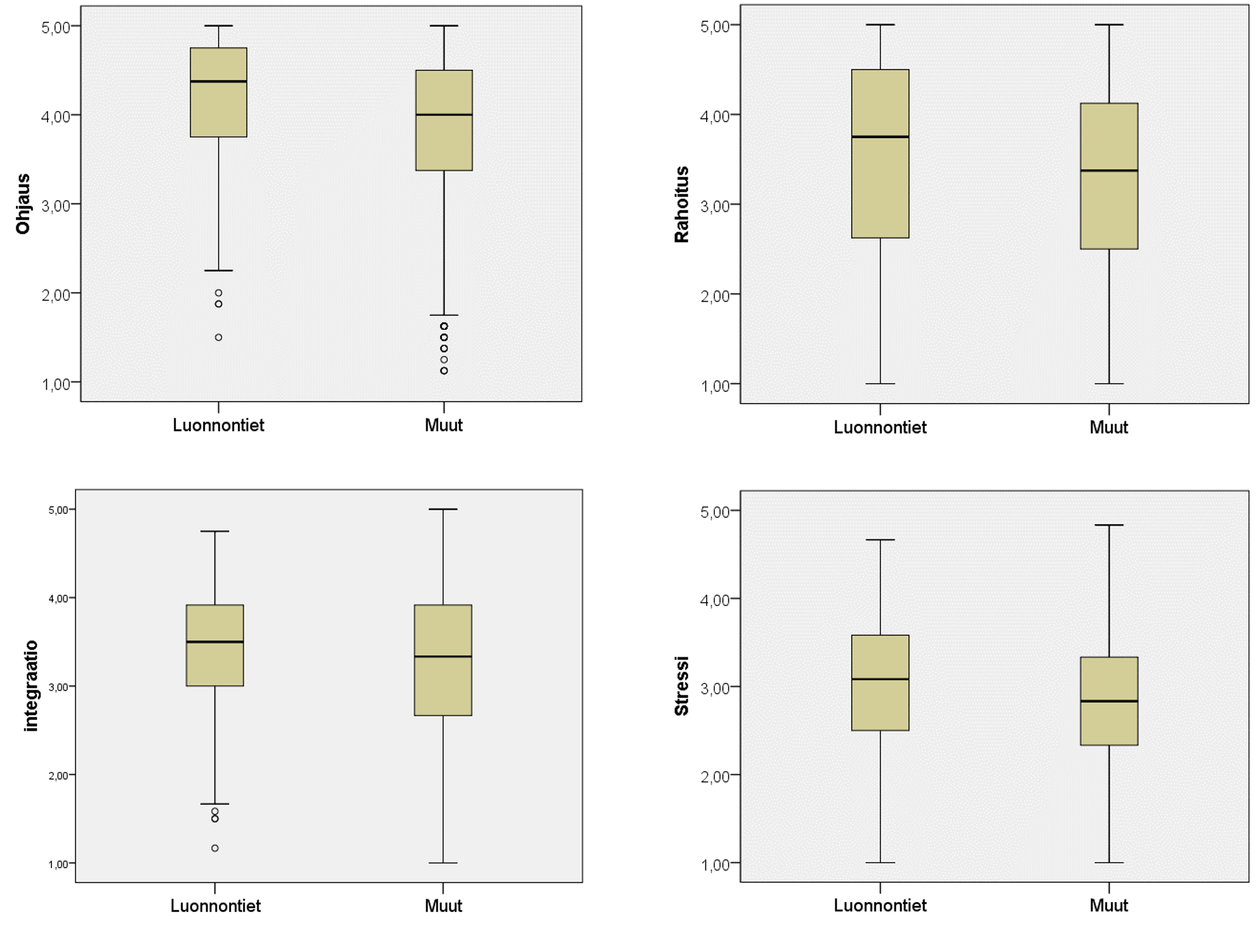
Seuraavaksi vertailemme luonnontieteen väitöskirjatutkijoita muiden alojen väitöskirjatutkijoihin ja kysymme, eroavatko nämä ryhmät toisistaan tyytyväisyydessä ohjaukseen ja rahoitukseen, integroitumisessa akateemiseen yhteisöön ja suhteessa koettuun huoleen väitöskirjaprosessin aikana. Laatikko–jana-graafeista (kuvio 1) näemme, että luonnontieteellisillä aloilla väitöskirjaansa tekevät olivat muita tyytyväisempiä erityisesti ohjaukseen mutta myös rahoitukseen. Samoin omaan yhteisöön integroituminen oli luonnontieteilijöillä keskimääräistä parempaa, joskaan erot eivät ole yhtä selvät. Toisaalta samalla luonnontieteilijät kokivat enemmän huolta ja stressiä kuin muut. Ryhmien väliset erot näillä kaikilla osa-alueilla olivat tilastollisesti merkitseviä, tosin efektikokoa ilmaiseva Cohenin d -arvo jää korkeimmillaankin keskinkertaiseksi (ks. taulukko 6).

Kuvio 1. Laatikko–jana-graafit ohjaustyytyväisyydestä, tyytyväisyydestä rahoitukseen, integroitumisesta akateemiseen yhteisöön ja stressin kokemuksista alan (luonnontiede/muut) mukaan
Taulukko 6. Luonnontieteen ja muiden alojen väitöskirjatutkijoiden tyytyväisyys ohjaukseen ja rahoitukseen, integroituminen akateemiseen yhteisöön sekä stressin kokemukset

Luonnontieteen aloilla väitöskirjaansa tekevät olivat muita huolestuneempia erityisesti tohtoroitumisen jälkeisestä työllistymisestään. Ensin mainituista työllistymiseen toiveikkaasti suhtautuvien osuus (47,2 %) oli selvästi pienempi kuin jälkimmäisenä mainittujen (58,3 %) (p < 0,001). Yksi biokemialla väitöskirjaa tekevä kommentoi suoraan, kuinka hänen alallaan on ”tyypillistä hakeutua tohtoriopintoihin oikeiden työpaikkojen puutteen vuoksi”: ”Väittelyn jälkeen putoaa tyhjän päälle kun on ylikoulutettu oikeisiin töihin ja yliopistolla ei ole tohtoreille töitä.”
Myös ylikuormittuneisuuden tunne oli luonnontieteilijöillä (57,3 %) yleisempää kuin muilla (49,4 %), (p < 0,01). Luonnontieteen väitöskirjatutkijat kokivat myös muita useammin, että he eivät ole riittävän lahjakkaita (43,4 % vs. 31,3 %, p < 0,001) tai että heillä on vääränlainen persoona (36,3 % vs. 29,5 %, p < 0,01) jatko-opinnoissa menestymiseen. Eräs vastaaja kiteyttää tuntemuksensa näin:
Käyn päivittäistä vääntöä pääni sisällä omista riittämättömyyden tunteista. Välillä pystyn ajattelemaan, että minulla on aihetta tyytyväisyyteen ja kaikki on väikkärin suhteen hyvällä mallilla. Välillä taas tuntuu siltä että olen Lusmulan pahin lusmuilija, ja on tapahtunut vain joku kauhea virhe että minulle, tuottamattomimmalle jatkarille ikinä, on edes myönnetty oikeus jatko-opintoihin. (Mies, biologia)
Kiinnostava havainto oli, että sukupuolten välillä oli selviä eroja yhteisöön integroitumisessa ja stressin kokemuksissa, sen sijaan tyytyväisyys ohjaukseen ja rahoitukseen ei eronnut sukupuolen mukaan. Parhaiten yhteisöönsä integroituneita olivat luonnontieteilijänaiset (KA = 3,47, KH = 0,50). Heidän keskiarvonsa erosi tilastollisesti merkitsevästi (t(199) = 2,283, p < 0,01, Cohenin d = 0,42) luonnontieteilijämiehistä (KA = 3,20, KH = 0,68). Muilla aloilla naisten keskiarvo integroitumisessa oli 3,27 ja miesten 3,12. Toisaalta luonnontieteissä naiset myös kokivat enemmän stressiä (KA = 3,13, KH = 0,77) kuin miehet (KA = 2,86, KH = 0,70), (t(201) = 2,539, p < 0,01, Cohenin d = 0,37). Muilla aloilla naisten stressin keskiarvo oli 2,88, miesten 2,78.
Kun vertailtiin kokonaistyytyväisyyttä jatko-opintoihin, osoittautuivat luonnontieteen väitöskirjatutkijat hieman vähemmän tyytyväisiksi (KA = 3,92, KH = 1,23) kuin muut (KA = 4,21, KH = 1,05). Ero oli tilastollisesti merkitsevä, t(1681) = -3,217, p < 0,01, Cohenin d = 0,25, ja tämä todentuu hyvin myös kuviossa 2. Luonnontieteen väitöskirjatutkijat aloittaisivat muita harvemmin tohtoriopinnot uudelleen, eli heidän joukossaan jatko-opintoja ”katuvia” oli selvästi enemmän: noin 16 prosenttia luonnontieteilijöistä ei aloittaisi jatko-opintoja, jos saisi uudelleen päättää, kun muilla aloilla osuus oli alle kymmenen prosenttia. Toisaalta tyytyväisiä jatko-opintoihin oli luonnontieteessäkin 44 prosenttia, muilla aloilla 53 prosenttia. Sukupuolten välillä ei ollut tilastollisesti merkitseviä eroja.

Kuvio 2. Luonnontieteen ja muiden alojen jatko-opiskelijoiden vastausten jakaumat väittämään ”Jos voisin päättää uudelleen, aloittaisin edelleen tohtoriopinnot”, (%)
Luonnontieteiden väitöskirjatutkijat ovat siis tyytyväisempiä moniin tohtorikoulutuksen osa-alueisiin mutta samalla selvästi stressaantuneempia kuin muilla aloilla väitöskirjaa tekevät. Tämä selittää osaltaan jatko-opintojen ”katujien” suurempaa osuutta. Luonnontieteissä väitöskirjatutkijat ovat lähes aina osa isompaa tutkimusryhmää, jolloin ohjaus, rahoitus ja yhteisöön integroituminen ovat varmemmalla pohjalla. Toisaalta tutkimusryhmän paine ja mahdollinen kilpailuasetelma muiden junioritutkijoiden kanssa voi kuormittaa. Näistä hankaluuksista huolimatta moni hyväksyi tilanteen väitöskirjaprosessiin kuuluvana ja kykeni löytämään myös positiivisempia näkökulmia:
Olen olosuhteisiin nähden tyytyväinen. En ole saanut tutkimusrahoitusta tarpeeksi, mutta kuitenkin oppinut hakemusten tekoon, jonka näen merkittäväksi eduksi väitöksen jälkeisessä tutkijan elämässä. (Nainen, maantiede)
Johtopäätökset ja pohdinta
Tarkastelimme tässä artikkelissa luonnontieteen aloilla väitöskirjaa tekevien jatko-opintojen ohjaustyytyväisyyteen vaikuttavia tekijöitä, heidän kokemuksiaan rahoituksesta, integroitumisesta akateemiseen yhteisöön sekä huolen ja stressin tuntemuksia. Lisäksi selvitimme, eroavatko luonnontieteen väitöskirjatutkijoiden kokemukset muilla aloilla jatko-opintoja tekevien kokemuksista. Tutkimuksessa nousi esille yllättäviä ohjaustyytyväisyyteen vaikuttavia tekijöitä, rahoituksen epävarmuuden aiheuttamaa ahdistusta sekä eroja stressin kokemuksissa eri tiedekuntien väitöskirjatutkijoiden välillä.
Tutkimuksemme osoitti, ettei ohjaajan aikaisemmalla ohjauskokemuksella ollut merkittävää yhteyttä luonnontieteiden väitöskirjatutkijoiden tyytyväisyyteen saamaansa ohjaukseen. Myöskään akateemisessa maailmassa yleisesti arvostetut meriitit, kuten runsas julkaisutoiminta tai rahoitushauissa menestyminen, eivät heijastuneet ohjattavan arvioihin ohjaussuhteestaan. Huippututkija ei siis automaattisesti ole huippuohjaaja. Akateemisia meriittejä tärkeämpänä pidettiin ohjaajan aitoa kiinnostusta, paneutumista ja saatavilla oloa. Nämä kaikki luovat luonnontieteiden väitöskirjatutkijalle kokemuksen arvostuksesta, vahvistavat hänen akateemista itseluottamustaan ja lisäävät tyytyväisyyttä ohjaukseen. Myös aikaisemmat tutkimukset ovat osoittaneet, että hyvää ohjaussuhdetta edistävät säännölliset tapaamiset, joissa vuorovaikutus on molemminpuolista (Lepp ym., 2016; Saru & Vähämäki 2018).
Kun analysoimme luonnontieteen alojen väitöskirjatutkijan kokonaistyytyväisyyttä jatko-opintoihin, tilastollisesti merkitseviksi selittäjiksi osoittautuivat tyytyväisyys ohjaukseen ja rahoitukseen sekä koetun huolen ja stressin voimakkuus. Akateemiseen yhteisöön integroituminen ei ollut mallissamme tilastollisesti merkitsevä selittäjä tyytyväisyyden kokemukselle. Mallin kokonaisselitysaste (21,5 %) jäi kuitenkin melko matalaksi, joten analyysiä olisi syytä jatkaa esimerkiksi niin, että mukaan tarkasteluun otetaan myös luonnontieteiden jatko-opiskelijan elämäntilannetta ja muita taustatekijöitä kuvaavia muuttujia. Tutkimustulostemme perusteella luonnontieteilijänaiset integroituivat akateemiseen yhteisöön miehiä paremmin, mutta toisaalta he kokivat miehiä enemmän stressiä.
Väitöskirjatutkijoiden vastauksissa nousi esiin rahoituksen epävarmuus keskeisenä kuormittavana tekijänä. Jatkuva apurahojen hakeminen on pois tutkimukseen käytettävästä ajasta ja lisää luonnontieteiden väitöskirjatutkijan kokemaa epävarmuutta tulevaisuudestaan.
Muihin aloihin verrattuna luonnontieteiden väitöskirjatutkijat kokivat enemmän stressiä ja aloittaisivat väitöskirjaprojektinsa harvemmin uudelleen, jos tietäisivät etukäteen, mitä on luvassa. Iso epävarmuutta ja stressiä aiheuttava tekijä liittyi tohtoroitumisen jälkeiseen työllistymiseen. Luonnontieteen aloilta väitelleiden työttömyys on ollut viime vuosina muita aloja korkeampi, joten huoli työllistymisestä on ymmärrettävää. Tohtoreiden työllistymismahdollisuuksien lisääminen akateemisen maailman ulkopuolelle onkin merkittävä haaste tulevaisuudessa. Todennäköisesti luonnontieteilijöiden kokeman huolen ja stressin takana on muitakin syitä, joita emme tällä tutkimuksella pystyneet tavoittamaan. Saattaa esimerkiksi olla niin, että nykyisen akateemisen maailman ja tohtorikoulutuksen reunaehdot – tehokkuus, nopeus ja innovatiivisuus – (ks. Piiroinen ym., 2022) kohdistuvat voimakkaammin luonnontieteeseen kuin niin sanottuihin pehmeisiin ja soveltaviin tieteenaloihin.
Väitöskirjatutkijoiden määrä kasvaa koko ajan, jolloin myös kilpailu rahoituksesta kasvaa. Samaan aikaan tiedemaailmassa pätkätyöt ja epävarmuus tulevaisuudesta lisääntyvät. Akateemisia työpaikkoja on rajallinen määrä, eikä tohtorintutkinto enää takaa elinikäistä työpaikkaa tiedemaailmassa (Turner & McAlpine, 2011). Viime vuosina urakeskusteluista ja urasuunnittelusta on tullut osa väitöskirjatutkijan ohjausta. Näillä keskusteluilla pyritään tukemaan väitöskirjatutkijan työllistymistä tohtorintutkinnon jälkeen. Urakeskustelut auttavat väitöskirjatutkijaa näkemään elämää myös väitöksen jälkeen (Soini & Pyhältö, 2012). Toimiva urakeskustelu vaatii kuitenkin, että ohjaajalla on näkemystä myös oman yliopistomaailmansa ulkopuolelta.
Jatko-opiskelun ohjaukseen olisi tarpeen kiinnittää enemmän huomiota. Väitöskirjaohjaajiksi haluaville voitaisiin järjestää pedagogista koulutusta, joka tulisi suorittaa ennen ohjaajaksi pääsyä. Ohjaajien ohjausvalmiuksia parantamalla voitaisiin toivottavasti ehkäistä ohjaajan omien huonojen ohjauskokemusten siirtymistä eteenpäin seuraavalle tutkijapolvelle. Ohjaustilanne ja -keskustelu ei koskaan saisi olla vallankäytön väline, vaan henkilökohtaisen ohjauksen tulisi aina perustua avoimeen näkemystenvaihtoon ja tasa-arvoiseen, rehelliseen keskusteluun. Voisi myös olla tarpeen asettaa enimmäismäärä sille, kuinka monta ohjattavaa yhdellä ohjaajalla voi kerrallaan olla. Väitöskirjatutkijalle tulisi myös nimetä muita ohjaajia pääohjaajan lisäksi, jolloin hänen olisi helpompi tavoittaa edes joku ohjaajistaan. Useamman ohjaajan tilanteessa väitöskirjatutkija ei myöskään jäisi täysin ilman ohjausta, jos henkilökemiat pääohjaajan kanssa eivät osu kohdalleen. Ohjauksessa voitaisiin myös ajatella ohjaustehtävän jakamista useammalle ohjaajalle erilaisten ohjauksen osa-alueiden ja väitöskirjatutkijan tarpeiden mukaan, kuten Pyhältö kollegoineen (2015) esittävät. Tukea ohjaukseen ja väitöskirjatutkijalle on haettu monessa tohtoriohjelmassa myös seurantaryhmillä, jotka nimetään jo koulutuspaikkaa haettaessa. Seurantaryhmä kokoontuu säännöllisesti, ja ongelmatilanteissa opiskelija voi kääntyä ohjaajan lisäksi myös seurantaryhmän puoleen.
Ohjaussuhteen alussa tehtävällä ohjaussopimuksella voidaan tukea ohjausta ja määritellä yhteiset tavoitteet, jolloin sekä ohjaaja että ohjattava ovat tietoisia sovituista toimintatavoista. Koska mikään suhde ei pysy muuttumattomana ikuisesti, tulee ohjaussopimustakin tarkastella ja päivittää säännöllisesti väitöskirjaprosessin edetessä. Väitösohjauksen paradoksi on, että tullakseen itsenäiseksi, autonomiseksi tutkijaksi väitöskirjatutkija tarvitsee laadukasta ohjausta ja opetusta. Väitöskirjatutkija tarvitsee ohjausta monella eri alueella: miten tehdä tutkimusta, miten hakea rahoitusta, miten lukea, arvioida ja kirjoittaa tieteellistä tekstiä, miten analysoida tutkimustuloksia ja millaista on onnistunut projektinhallinta (McCallin & Nayar, 2012).
Ohjaaminen koetaan edelleen kovin henkilökohtaiseksi asiaksi, ja moni arkailee puhua omasta ohjaamisestaan tai mahdollisista vaikeuksistaan siinä. Kukaan ohjaaja tuskin haluaa myöntää ääneen olevansa huono ohjaaja ja tarvitsevansa siinä apua ja koulutusta. Väitöskirjaohjaajien ”vertaistukiryhmillä” voitaisiin tukea avoimemman keskusteluilmapiirin kehittymistä. Vaikka ohjaustilanne saattaa nostaa tunteita pintaan sekä ohjaajalla että ohjattavilla, tulisi aina muistaa, että ohjaustilanne on ammatillista toimintaa. Siihen kuuluu, että ohjaaja ymmärtää oman ajattelunsa ja toimintansa vaikutuksen ohjaustilanteen kulkuun. Positiivinen palaute herättää positiivisia tunteita, kuten iloa, ylpeyttä sekä tyytyväisyyttä, joten se on voimaannuttavaa. Sen sijaan negatiivinen, jopa murskaava, palaute nostattaa häpeän ja turhautumisen tunteita ja pahimmillaan voi johtaa jopa masennukseen (Nummenmaa & Pyhältö, 2012).
Tutkimuksemme tulosten perusteella on ilmeistä, että niin luonnontieteen alojen kuin muidenkin alojen väitöskirjatutkijoiden hyvinvointiin olisi panostettava entistä enemmän. Keinoja tähän ovat esimerkiksi ohjaajien pedagogisten taitojen kehittäminen, rahoitusmahdollisuuksien lisääminen ja tutkintojen tavoiteaikojen löysääminen. Pidempi tavoiteaika tohtorintutkinnon valmistumiselle antaisi väitöskirjatutkijalle enemmän aikaa kasvaa alansa asiantuntijaksi ja osaksi akateemista yhteisöä. Samalla opiskelu-, suunnitelmallisuus- ja ajanhallintataitoja voitaisiin tukea ja parantaa tohtoriopintoihin sisällytettävillä opinnoilla, kuten Määttä, Asikainen ja Katajavuori (2021) ovat esittäneet omassa tutkimuksessaan.
Lepp kollegoineen (2016) esittelevät Virossa erityisesti luonnontieteiden aloilla hyödynnetyn käytännön: ohjaaja hakee ensin rahoituksen ja vasta sen jälkeen etsii projektiin väitöskirjatutkijan tekemään tutkimustaan. Näin luodaan väitöskirjatutkijalle työpaikka koko tohtorintutkinnon ajaksi. Turvattu rahoitus luo väitöskirjatutkijalle tulevaisuudenuskoa, joka puolestaan tukee tutkimuksen etenemistä ja väitöskirjatutkimuksen valmistumista ajallaan. Tätä rahoituskäytäntöä soisi hyödynnettävän enemmän myös Suomessa.
Tutkimukseemme liittyy joitakin rajoituksia. Ensinnäkin aineistossamme luonnontieteilijöitä oli 213, mikä on vain noin kymmenen prosenttia kokonaisjoukosta. Tämä pitää huomioida tulosten yleistettävyyttä pohdittaessa. Emme myöskään voi tietää, ovatko kyselyyn vastanneet erityisesti sellaiset jatko-opiskelijat, joilla on vaikeuksia opintojen etenemisessä, vai ovatko nimenomaan hyvin edenneet ja tyytyväiset väitöskirjantekijät olleet innokkaampia vastaajia.
Toiseksi aineistossa oli yliopistoon ja sukupuoleen liittyvää vinoumaa. Suomessa yliopistojen väliset erot ovat kuitenkin suhteellisen pieniä moneen muuhun maahan verrattuna (Kohvakka, Nevala & Nori, 2019), joten väitöskirjatutkijoiden taustoissa ja kokemuksissa ei oletettavasti ole suuria yliopistokohtaisia eroja. Tässä tutkimuksessa emme myöskään vertailleet eri yliopistoissa jatko-opintoja suorittavien kokemuksia, vaan tarkastelimme luonnontieteilijöitä yhtenä ryhmänä.
Kyselytutkimuksille tyypilliseen tapaan myös tähän kyselyyn naiset olivat vastanneet miehiä aktiivisemmin. Aineistossamme naisten osuus oli 62 prosenttia, mikä on reilut kymmenen prosenttiyksikköä enemmän kuin naisten osuus kaikista luonnontieteiden väitöskirjatutkijoista. Tämä vinouma voi jossain määrin näkyä tuloksissa, sillä naiset ilmaisivat miehiä useammin olevansa stressaantuneita jatko-opinnoistaan ja huolestuneita tulevaisuudestaan. Vaikka nykyään naisten osuus luonnontieteissä on kasvanut, olisi hyvä pohtia, mistä erityisesti naisten epävarmuuden, kuormittuneisuuden ja stressin kokemukset luonnontieteen aloilla kumpuavat. Tämä on aihe, jota voisi lähestyä paremmin esimerkiksi haastattelututkimuksella.
Barnes, B. J. & Randall, J. (2012). Doctoral student satisfaction: An examination of disciplinary, enrollment, and institutional differences. Research in Higher Education, 53(1), 47–75.
https://doi.org/10.1007/s11162-011-9225-4
Bastalich, W. (2017). Content and context in knowledge production: A critical review of doctoral supervision literature. Studies in Higher Education, 42(7), 1145–1157. https://doi.org/10.1080/03075079.2015.1079702
Benmore, A. (2016). Boundary management in doctoral supervision: How supervisors negotiate roles and role transitions throughout the supervisory journey. Studies in Higher Education, 41(7), 1251–1264. https://doi.org/10.1080/03075079.2014.967203
Bitzer, E. M. (2011). Doctoral success as ongoing quality business: A possible conceptual framework. South Africa Journal of Higher Education, 25(3), 425–443.
Burger, N. (2016). Liminal spaces: the tacit dimension of the doctoral supervisory relationship (väitöskirja). East Lismore: Southern Cross University. https://researchportal.scu.edu.au/esploro/outputs/991012821661502368
Chiang , K. (2003). Learning experiences of doctoral students in UK universities. International Journal of Sociology and Social Policy, 23(1/2), 4–32.
https://doi.org/10.1108/01443330310790444
Colbeck, C. L. (2008). Professional identity development theory and doctoral education. New Directions for Teaching & Learning, 113, 9–16.
https://doi.org/10.1002/tl.304
Deuchar, R. (2008). Facilitator, director or critical friend? Contradiction and congruence in doctoral supervision styles. Teaching in Higher Education, 13(4), 489–500. https://doi.org/10.1080/13562510802193905
Easterby-Smith, M., Thorpe, R. & Lowe, A. (2002). Management research: An introduction (2. painos). London: Sage.
Golde, C. M. & Dore, T. M. (2001). At Cross Purposes: What the experiences of doctoral students reveal about doctoral education. Philadelphia, PA: A report prepared for The Pew Charitable Trusts.
www-phd-survey.org
Kohvakka, M., Nevala, A. & Nori, H. (2019). The changing meanings of ‘responsible university’. From a Nordic-Keynesian welfare state to a Schumpeterian competition state. Teoksessa M. P. Sørensen, L. Geschwind, J. Kekäle & R. Pinheiro (toim.), The responsible university. Cham: Palgrave Macmillan. https://doi.org/10.1007/978-3-030-25646-3_2
Köse, A. (2019). Career decision regret as a predictor: Do teachers and administrators regret due to their career choice? World Journal of Education, 9(1), 38–55.
https://doi.org/10.5430/wje.v9n1p38
Leijen, Ä., Lepp, L. & Remmik, M. (2016). Why did I drop out? Former students’ recollections about their study process and factors related to leaving the doctoral studies. Studies in Continuing Education, 38(2), 129–144.
https://doi.org/10.1080/0158037X.2015.1055463
Lepp, L., Remmik, M., Leijen, Ä. & Leijen, D. A. (2016). Doctoral students’ research stall: Supervisors’ perceptions and intervention strategies. SAGE Open, 6(3).
https://doi.org/10.1177/2158244016659116
McCallin, A. & Nayar, S. (2012). Postgraduate research supervision: A critical review of current practice. Teaching in Higher Education, 17(1), 63–74.
https://doi.org/10.1080/13562517.2011.590979
Määttä, S., Asikainen, H. & Katajavuori, N. (2021). Yliopisto-opiskelijoiden hyvinvointia ja opiskelutaitoja tukemassa. Yliopistopedagogiikka, 28(1).
https://lehti.yliopistopedagogiikka.fi/2021/05/05/yliopisto-opiskelijoiden-hyvinvointia-ja-opiskelutaitoja-tukemassa/
Nummenmaa, L. (2021). Tilastotieteen käsikirja. Helsinki: Tammi.
Nummenmaa, A. R. & Pyhältö, K. (2008). Tohtorikoulutus systeemisenä kokonaisuutena. Teoksessa A. R. Nummenmaa, K. Pyhältö & T. Soini (toim.), Hyvä tohtori! Tohtorikoulutuksen rakenteita ja prosesseja (s. 22-37). Tampere: Tampere University Press.
https://urn.fi/URN:ISBN:978-952-03-0494-2
Nummenmaa, A. R. & Pyhältö, K. (2012). Kun on myös tunteet. Teoksessa T. Soini & K. Pyhältö (toim.), Akateeminen ohjaus tohtorikoulutuksessa (s. 76–94). Tampere: Tampere University Press. https://urn.fi/URN:ISBN:978-951-44-8971-6
Nummenmaa, A. R. & Soini, H. (2008). Akateeminen ohjaus. Teoksessa A. R. Nummenmaa, K. Pyhältö & T. Soini (toim.), Hyvä tohtori! Tohtorikoulutuksen rakenteita ja prosesseja (s. 49–72). Tampere: Tampere University Press.
https://urn.fi/URN:ISBN:978-952-03-0494-2
Nummenmaa, A. R. & Soini, H. (2009). Akateeminen ohjaus tiedeyhteisössä. Kasvatus, 40(5), 432–442.
Orellana, M. L., Darder, A., Pérez, A. & Salinas, J. (2016). Improving doctoral success by matching PhD students with supervisors. International Journal of Doctoral Studies, 11, 87–103.
https://doi.org/10.28945/3404
Parker-Jenkins, M. (2018). Mind the gap: Developing the roles, expectations and boundaries in the doctoral supervisor–supervisee relationship. Studies in Higher Education, 43(1), 57–71. https://doi.org/10.1080/03075079.2016.1153622
Piiroinen, A., Matikainen, M. & Maunula, M. (2022). Väitöskirjatutkijat akateemisessa maailmassa: Kultapoikia, ”huijareita”, haamututkijoita ja lannistuneita. Aikuiskasvatus, 42(3), 198–212. https://doi.org/10.33336/aik.122022
Pole , C. J., Sprokkereef, A., Burgess, R. G. & Lakin, E. (1997). Supervision of doctoral students in the natural sciences: Expectations and experiences. Assessment & Evaluation in Higher Education, 22(1), 49–63. https://doi.org/10.1080/0260293970220104
Pyhältö, K. & Keskinen, J. (2012a). Doctoral students’ sense of relational agency in their scholarly communities. International Journal of Higher Education, 1(2), 136–149. https://doi.org/10.5430/ijhe.v1n2p136
Pyhältö, K. & Keskinen, J. (2012b). Mitä väliä jatko-opiskelijan osallisuudella on? – Miksi jatko-opiskelijan hyvinvoinnista kannattaa olla kiinnostunut? Teoksessa T. Soini;& K. Pyhältö (toim.), Akateeminen ohjaus tohtorikoulutuksessa (s. 58–75). Tampere: Tampere University Press.
https://urn.fi/URN:ISBN:978-951-44-8971-6
Pyhältö, K., Stubb, J. & Lonka, K. (2009). Developing scholarly communities as learning environments for doctoral students. International Journal for Academic Development, 14(3), 221–232. https://doi.org/10.1080/13601440903106551
Pyhältö, K., Vekkaila, J. & Keskinen, J. (2012). Exploring the fit between doctoral students’ and supervisors’ perceptions of resources and challenges vis-à-vis the doctoral journey. International Journal of Doctoral Studies, 7, 395–414.
https://doi.org/10.28945/1745
Pyhältö, K., Vekkaila, J. & Keskinen, J. (2015). Fit matters in the supervisory relationship: Doctoral students and supervisors perceptions about the supervisory activities. Innovations in Education and Teaching International, 52(1), 4–16.
https://doi.org/10.1080/14703297.2014.981836
Saru, E. & Vähämäki, M. (2018). Tohtoriopiskelijat myötä- ja vastamäessä – Akateeminen ohjauskäytäntö johtamissuhteena tarkasteltuna. Yliopistopedagogiikka, 25(1), 34–51. https://lehti.yliopistopedagogiikka.fi/2018/11/30/tohtoriopiskelijat-myota-ja-vastamaessa-akateeminen-ohjauskaytanto-johtamissuhteena-tarkasteltuna/
Soini, T. & Pyhältö, K. (2012). Lopuksi – Ohjaus osana akateemista työtä. Teoksessa T. Soini & K. Pyhältö (toim.), Akateeminen ohjaus tohtorikoulutuksessa (s. 234‒239). Tampere: Tampere University Press. https://urn.fi/URN:ISBN:978-951-44-8971-6
Stubb, J., Pyhältö, K. & Lonka, K. (2011). Balancing between inspiration and exhaustion: PhD students’ experienced socio-psychological well-being. Studies in Continuing Education, 33(1), 33–50. https://doi.org/10.1080/0158037X.2010.515572
Stubb, J., Pyhältö, K. & Lonka, K. (2014). Conceptions of research: The doctoral student experience in three domains. Studies in Higher Education, 39(2), 251–264.
https://doi.org/10.1080/03075079.2011.651449
Stubb, J., Pyhältö, K., Soini, T., Nummenmaa, A. R. & Lonka, K. (2010). Osallisuus ja hyvinvointi tiedeyhteisössä: Tohtoriopiskelijoiden kokemuksia. Aikuiskasvatus 30(2), 106–119. https://doi.org/10.33336/aik.93868
Taylor, S. E. (2012). Changes in doctoral education: Implications for supervisors in developing early career researchers. International Journal for Researcher Development, 3(2), 118–138. https://doi.org/10.1108/17597511311316973
Turner, G. & McAlpine, L. (2011). Doctoral experience as researcher preparation: Activities, passion, status. International Journal for Researcher Development, 2(1), 46–60.
https://doi.org/10.1108/17597511111178014
Tynjälä, P., Rautopuro, J., Aittola, H., Jääskelä, P., Markkanen, I., Virolainen, M. & Virtanen, A. (2021). Tutkinto takana: Yliopistojen kandipalautekyselyn sekä maisterien ja tohtorien uraseurantakyselyjen 2018, 2019 ja 2020 tulokset. Jyväskylän yliopisto, Koulutuksen tutkimuslaitos.
http://urn.fi/URN:ISBN:978-951-39-8865-4
Vekkaila, J. (2012). Luonnontieteen tutkijaksi? Teoksessa T. Soini & K. Pyhältö (toim.), Akateeminen ohjaus tohtorikoulutuksessa (s. 151–166). Tampere: Tampere University Press.
https://urn.fi/URN:ISBN:978-951-44-8971-6
Vekkaila, J., Pyhältö, K., Hakkarainen, K., Keskinen, J. & Lonka, K. (2012). Doctoral students’ key learning experiences in the natural sciences. International Journal for Researcher Development, 3(2), 154–183. https://doi.org/10.1108/17597511311316991
Vekkaila, J., Pyhältö, K. & Lonka, K. (2013a). Experiences of disengagement – A study of doctoral students in the behavioral sciences. International Journal of Doctoral Studies, 8, 61–81.
https://doi.org/10.28945/1870
Vekkaila, J., Pyhältö, K. & Lonka, K. (2013b). Focusing on doctoral students’experiences of engagement in the thesis work. Frontline Learning Research, 1(2), 12‒34.
https://doi.org/10.14786/flr.v1i2.43
Vipunen. (2023a). Tutkinnon suorittaneiden sijoittuminen. (Opetushallinnon tilastopalvelu, toim.)
https://vipunen.fi/fi-fi/yliopisto/Sivut/Tutkinnon-suorittaneiden-sijoittuminen.aspx
Vipunen. (2023b). Opiskelijat ja tutkinnot. (Opetushallituksen tilastopalvelu, toim.)
https://vipunen.fi/fi-fi/yliopisto/Sivut/Opiskelijat-ja-tutkinnot.aspx
Zhao, C.-M., Golde, C. M. & McGormick, A. C. (2007). More than a signature: How advisor choice and advisor behaviour affect doctoral student satisfaction. Journal of Further and Higher Education, 31(3), 263–281. https://doi.org/10.1080/03098770701424983

